The short cuts

In a binomial distribution with

n trials

p as the probability of success

q as the probability of failure (q = 1 - p)

then

[Maple OLE 2.0 Object]

[Maple OLE 2.0 Object]

[Maple OLE 2.0 Object]

i.e.

the mean is np, the variance is npq, and the standard deviation is the square root of npq.

Example 1

A mutiple choice history quiz has 20 questions with each question having 5 choices. For students who guess at the answers find the mean, variance, and standard deviation for the number of correct answers.

Solution .

Here n = 20, p = 1/5 = .2, and q = 1 - .2 = .8. Since the mean is n times p, the mean is 4. Because the variance is npq, the variance is 3.2. Since the standard deviation is the square root of the variance, the standard deviation is the square root of 3.2 or about 1.79

Example 2

A company has a 2.5% defective rate for a product it makes. Find the mean and standard deviation for the number of defectives in 900 items.

Solution.

[Maple OLE 2.0 Object]

[Maple OLE 2.0 Object]

Example 3

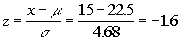
If the company in example two changes its procedures and has 15 defective items in a group of 900, does this indicate an improvment?

Solution .

In this problem we will assume that unusual values are those that are more than 2 standard deviation units from the mean. If we find the z score for 15, we will know how many standard deviations it is from the mean. The z score for the value of 15 is given by

[Maple OLE 2.0 Object]

Since 15 is not more than 2 standard deviation units below 22.5, it is not unusual and hence it is not an improvement.